歩行は最も重要な移動手段です。一見単純に見える歩行は、視覚・体性感覚・前庭系からの情報を受け、実際には全身の複雑な協調を必要とします。
前庭系の研究でこれまでにわかっていること
・頭部安定化による視覚制御への貢献
・姿勢反応の基準枠としての役割
・視覚なしでの目標歩行への関与
前庭障害患者の研究から
・両側前庭障害患者は短距離なら視覚なしでも歩行可能
・片側前庭障害患者は低速歩行時に障害側へ偏倚
研究の目的
ネコの研究では前庭脊髄ニューロンの活動が歩行周期に依存することが知られているが、ヒトにも同じような位相依存調節があるのかを解明するため
方法
健常被検者8名(年齢25.5歳±6.98)の視覚を遮断し、床反力計上を4.3m歩行
電気性前庭刺激(GVS)装置を両耳後部に装着し、
3つのタイミングで
1.かかと接地時(HC) 2.立脚中期(MS) 3.つま先離地時(TO)
刺激条件を
・左陽極 ・右陽極 ・刺激なし(コントロール)
3次元運動計測(Optotrackシステム)にて各条件5試行ずつ実施
結果
主な結果として
1.上半身の反応
・頭部、体幹、骨盤は刺激側に傾く反応を示した
・反応の大きさは歩行周期の位相に依存せず一定であった

図は上半身(頭部・体幹・骨盤)の前庭刺激に対する反応を示したグラフ
縦軸はセグメントの傾斜角度で正の値→右への傾斜 負の値→左への傾斜
横軸は歩行周期の時間経過(HC:かかと接地 MS:立脚中期 TO:つまさき離地 RHC2:2回目の右かかと接地 RTO2:2回目の右つま先離地)
すべての身体セグメントで刺激に対する反応がみられるが、タイミング間で反応の大きさに有意な違いはないことを示している
2.下半身の反応
・足の配置は歩行周期の位相に依存して変化
・かかと接地時の刺激で最大の反応
・立脚中期の刺激で最小の反応

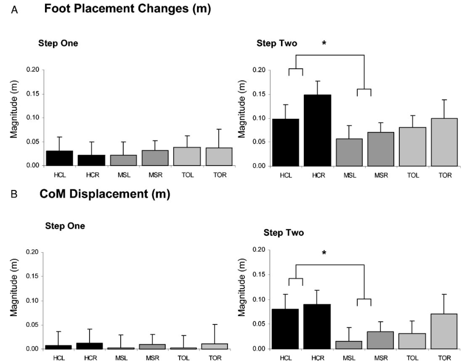
図 前庭刺激に対する足の配置と重心(COM)の変化
図Aは足の配置の変化を表しており、縦軸が横方向への変位の大きさ、横軸が刺激条件と歩数を表す
HCL/HCR:かかと接地時の左/右陽極 MSL/MSR:立脚中期の左/右陽極 TOL/TOR:つま先接地時の左/右陽極
図Bは重心の変位を表しており、縦軸が重心の横方向への変位の大きさ、横軸がAto同じ刺激条件と歩数を表している
足の配置と重心の変化は同様のパターンを示しており、両方とも2歩目で明確な変化が現れる。かかと接地時の刺激が最も大きな効果を持つ
結論
・前庭系情報の利用は上半身と下半身で異なる制御メカニズムをもつ
・上半身の姿勢制御には常に一定の前庭系入力が必要
・下半身の制御には歩行周期に応じた可変的な前庭系入力が重要

臨床的には、
・前庭障害患者の理解と評価として二重支持期(かかと接地期)の重要性が明らかとなり、この時期の転倒リスク評価の必要性
・治療効果を評価するときに、歩行周期の各位相における反応を個別に評価する
など評価や治療で活かせるのではないかと考えます。
参考文献
Leah et al. When is Vestibular Information Important During Walking? J Neurophysiol • VOL 92 • SEPTEMBER 2004
https://pubmed.ncbi.nlm.nih.gov/15102904
NEUROスタジオ東京 山岸
