💡この記事の要約:小胸筋 インピンジメント 肩甲骨
結論から言うと、小胸筋の短縮は肩甲骨の「前傾・内旋」を強制し、肩峰下インピンジメントのリスクを物理的に増大させます。Borstad(2005)の研究では、短縮群において挙上時の異常運動が有意に認められました。リハビリでは単なるストレッチよりも、胸椎伸展や拮抗筋(菱形筋など)を利用したアプローチが、安全かつ効果的な「急がば回れ」のルートとなります。
肩峰下インピンジメント症候群を呈する患者において、小胸筋の短縮は最も頻繁に遭遇する機能不全の一つです。しかし、単に「硬いからほぐす」「短いから伸ばす」という短絡的なアプローチでは、臨床的な成果は頭打ちになります。
なぜ、小胸筋の短縮が問題となるのか。そのメカニズムを運動学的なエビデンスに基づいて整理し、脳卒中リハビリテーションの現場で通用する評価と治療戦略を提示します。
異常を理解するためには、まず「正常」を知る必要があります。以下の記事で解説している通り、健全な肩関節挙上において、肩甲骨は「後傾・外旋・上方回旋」の軌道を描くことを前提として読み進めてください。
CheckLINE登録で定期開催の
ハンドリングセミナー情報を配信中
[rank_math_rich_snippet id=”toc”]
背景:肩峰下インピンジメントと肩甲骨位置異常
肩峰下インピンジメントは、上腕骨頭と肩峰アーチの間で軟部組織(腱板や滑液包)が挟み込まれる現象です。このスペースを狭小化させる主要な要因が、肩甲骨の位置異常(Scapular Dyskinesis)です。
特に注目すべきは、烏口突起に停止を持つ小胸筋の存在です。

小胸筋が短縮あるいは過緊張状態にあると、肩甲骨は烏口突起を介して前下方に引かれます。これが肩甲骨の「前傾」および「内旋」を強制し、挙上時のスムーズな後傾運動を物理的にブロックします。結果として肩峰が下がった状態となり、挙上早期からのインピンジメントを誘発する温床となります。
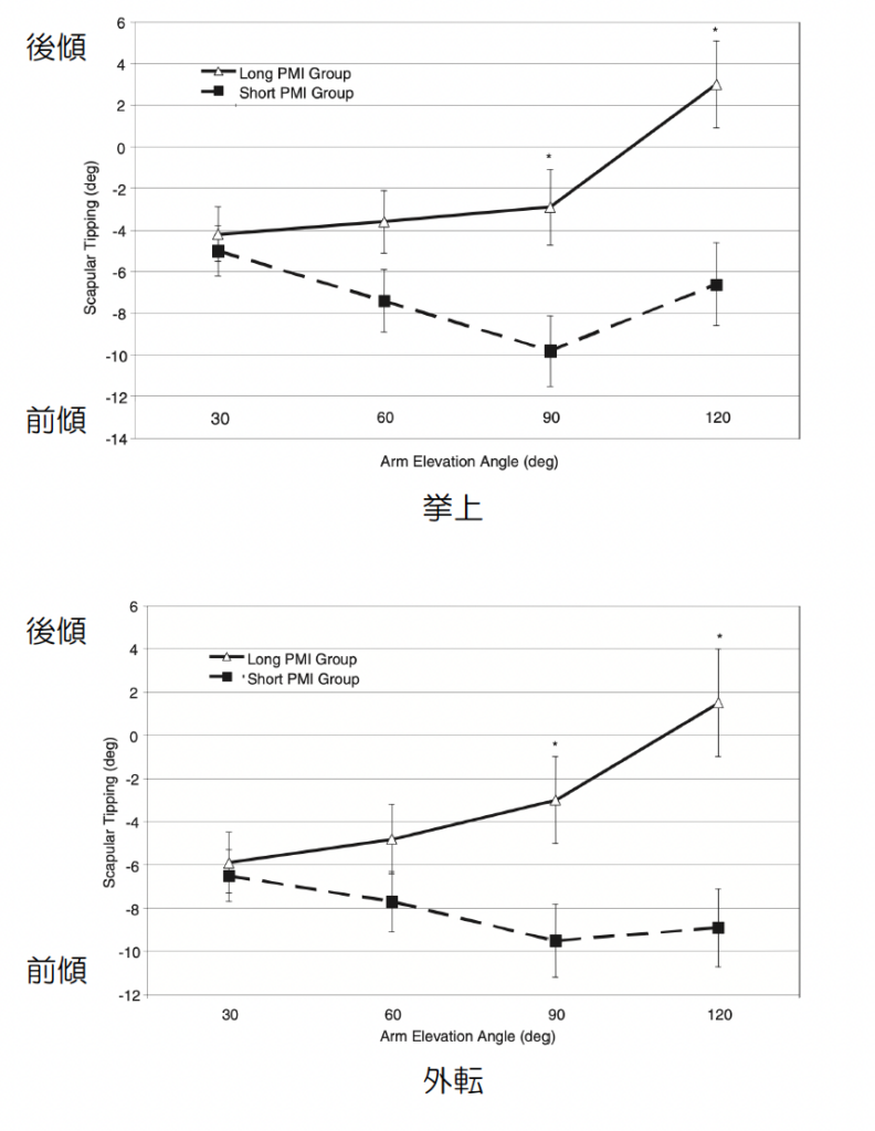
論文解説:Borstad & Ludewig (2005)の研究
このメカニズムを明確に裏付けたのが、BorstadとLudewigによる2005年の研究です。
研究デザインは以下の通りです。
50名の健常被験者を対象に、小胸筋の静止長(Resting Length)に基づいて「長群(Long group)」と「短群(Short group)」に分類。3つの平面(矢状面・肩甲骨面・前額面)での上肢挙上中における、肩甲骨の3次元的な動きを比較測定しました。
その結果は、臨床家の感覚を数値として証明するものとなりました。

結果の要点
- 全ての挙上面において、短群は長群と比較して、より強い「肩甲骨内旋」と「前傾」を示しました。
- 特に挙上角度が増大するにつれて(60°〜120°)、その偏位は顕著となりました。
特筆すべきは、この「短群」が示した運動パターンが、実際の肩峰下インピンジメント患者に見られる運動学的特徴と酷似していた点です。つまり、痛みがない段階であっても、小胸筋が短縮しているだけで、肩関節はインピンジメントを起こしやすい「構造的なリスク」を抱えていることを意味します。
詳細考察:小胸筋が崩す「フォースカップル」
小胸筋の短縮は、単にブレーキとして働くだけではありません。肩甲骨を動かすための筋の協調関係(フォースカップル)を破綻させます。
肩甲骨を後傾・上方回旋させる主動作筋は前鋸筋と僧帽筋下部線維です。小胸筋の強力な下方回旋・前傾作用は、これらの筋の出力を抑制、あるいは無効化してしまいます。
【図解】前鋸筋の機能解剖|肩の痛みと翼状肩甲を運動学的に捉えるリハビリ・筋トレ法
臨床でよく見られる「翼状肩甲」や「挙上時の僧帽筋上部の過剰収縮」は、小胸筋の短縮によって適切なフォースカップルが作動しなくなった代償動作と解釈できます。
治療戦略の再考:ストレッチだけで十分か?
小胸筋の短縮に対し、教科書的にはストレッチが推奨されます。Borstadらは翌2006年の研究で、3種類のストレッチ方法を比較し、「壁を使ったストレッチ(Unilateral Corner Stretch)」が最も筋長の変化を得られたと報告しています。
【参考文献:Comparison of three stretches for the pectoralis minor muscle (Borstad 2006)】
しかし、筋の「長さ」が変われば問題は解決するのでしょうか。
Umeharaら(2018)の研究では、長さだけでなく「硬さ(Stiffness)」の変化が運動学的な改善に関連することを示唆しています。
組織の伸張性(Elasticity)や滑走性を取り戻すためには、単に引っ張るだけでなく、組織の質を変えるアプローチが必要です。
NEURO STUDIOの視点:脳卒中リハビリにおける「順序」
ここで、脳卒中片麻痺患者に対する臨床的な現実を直視します。
麻痺側上肢に対して、前述の「壁を使ったストレッチ」を行うことは容易ではありません。亜脱臼のリスク、痛み、あるいは全身の過剰な緊張(連合反応)を誘発する危険性が高いからです。
また、ベッド上で小胸筋に対しダイレクト・ストレッチやモビライゼーションを行っても、「その場では緩むが、起き上がるとすぐに戻る」「そもそも硬すぎて指が入らない」という経験は多くのセラピストが共有するところです。
組織が緩まないのは、その筋が「姿勢を保持するために張らざるを得ない状況」にあるからです。
当施設では、以下の「黄金ルート」で介入順序を組み立てます。
- 胸椎の伸展(Thoracic Extension)
猫背(胸椎後弯)姿勢では、肩甲骨は構造的に前傾位となります。土台である胸椎の伸展可動域を確保しない限り、小胸筋は物理的に短縮位を強いられ続けます。まず、胸郭を開くことから始めます。 - 拮抗筋を利用した相反抑制
無理に小胸筋を揉むのではなく、拮抗筋である広背筋、菱形筋、僧帽筋下部の収縮を促します。「背中の筋肉を使う」ことで、相反抑制により前面の小胸筋を反射的に弛緩させます。 - 結果としてのアライメント修正
背部の筋活動が高まり、胸椎が伸展した状態で初めて、小胸筋への徒手的な介入やストレッチが効果を発揮します。
小胸筋の短縮は「原因」であると同時に、全身姿勢の崩れによる「結果」でもあります。局所だけを見ず、全身の運動連鎖の中からアプローチを決定してください。
臨床で患者さんの肩が上がりにくい時、まず挙上中の肩甲骨を見てください。
90度付近で肩甲骨がグッと前に被さってくる(前傾する)ような動きが見られたら、小胸筋の短縮を疑うべきサインです。
しかし、そこでいきなり烏口突起を押しに行くのではなく、一度視点を引き、胸椎の動きや背部の筋活動を評価してください。遠回りに見えるその手順こそが、安全かつ最短でインピンジメントを回避する道筋となります。
よくある質問
Q. 小胸筋の短縮はなぜ肩のインピンジメントを引き起こすのですか?
A. 小胸筋が短縮すると肩甲骨が前傾・内旋方向に引かれ、挙上時に必要な「後傾」の動きが阻害されます。その結果、肩峰が下がり、腱板などが挟み込まれやすくなるためです。
Q. 脳卒中片麻痺患者に壁を使ったストレッチを行っても良いですか?
A. リスクが高いため推奨されにくい場合があります。亜脱臼や連合反応による過緊張を招く恐れがあるため、まずは臥位や座位で胸椎の可動性を確保し、安全な範囲で実施してください。
Q. 小胸筋をマッサージしてもすぐに硬さが戻ってしまいます。
A. 姿勢制御のために「張らざるを得ない」状態の可能性があります。局所だけでなく、胸椎の後弯を改善したり、背部の拮抗筋(菱形筋など)を賦活させて相反抑制を利用したりするアプローチを試してください。
参考文献
- The effect of long versus short pectoralis minor resting length on scapular kinematics in healthy individuals (健常者における小胸筋静止長の長短が肩甲骨運動に及ぼす影響)
Borstad JD, Ludewig PM. (2005)
https://pubmed.ncbi.nlm.nih.gov/15901124/ - Comparison of three stretches for the pectoralis minor muscle (小胸筋に対する3種類のストレッチ法の比較)
Borstad JD, Ludewig PM. (2006)
https://pubmed.ncbi.nlm.nih.gov/16679233/ - Scapular kinematic alterations during arm elevation with decrease in pectoralis minor stiffness after stretching in healthy individuals (健常者におけるストレッチ後の小胸筋スティフネスの低下に伴う上肢挙上時の肩甲骨運動学的変化)
Umehara J, et al. (2018)
https://pubmed.ncbi.nlm.nih.gov/29241857/
執筆者情報
三原拓(みはら たく)
ニューロスタジオ千葉 理学療法士
主な研究業績
2016,18年 活動分析研究大会 口述発表 応用歩行セクション座長
2019年 論文発表 ボバースジャーナル42巻第2号 『床からの立ち上がり動作の効率性向上に向けた臨床推論』
2022年. 書籍分担執筆 症例動画から学ぶ臨床歩行分析~観察に基づく正常と異常の評価法
p.148〜p.155 株式会社ヒューマン・プレス
その他経歴
2016年 ボバース上級講習会 修了
2024年 自費リハビリ施設 脳卒中リハビリパートナーズhaRe;Az施設長に就任
2025年 株式会社i.L入職 NEUROスタジオ千葉の立ち上げ
現在の活動
ニューロスタジオ千葉 施設長
脳卒中患者様への専門的リハビリ提供
療法士向け教育・指導活動
千葉ハンドリングセミナー共同代表
