臨床において、リーチ動作を促す際に「手から」の運動開始を強調されたり、皮膚への介入による筋収縮の誘導を行ったりする場面をみかけます
…なんとなくわかるけど、なぜか?と問われたときに明確な答えを話すことは難しかったので、考える一助になるのではないかと思い、今回の論文をご紹介します
背景・目的
人の手のひらの皮膚(無毛皮膚)には、4種類の機械的刺激に反応する感覚受容器(メカノレセプター)があります
・RA(急速順応型・小さな感覚範囲)
・PC(パチニ小体とされる・広い範囲に反応)
・SA I(遅延順応型・小さな範囲)
・SA II(遅延順応型・広い範囲)

これらの受容器が「自発的な指の動き」中にどう反応するのかは、これまであまり詳しく調べられていませんでした
本研究では、人間が自分の意思で指を動かしたときに、これらの感覚神経がどう活動するかを調べました
方法
被験者:39人の健康な成人
電極を腕の神経(正中神経)に刺し、単一の感覚神経の活動を記録
被験者にいろいろな指の動きをしてもらい、そのときに感覚神経がどのように反応するかを調べた
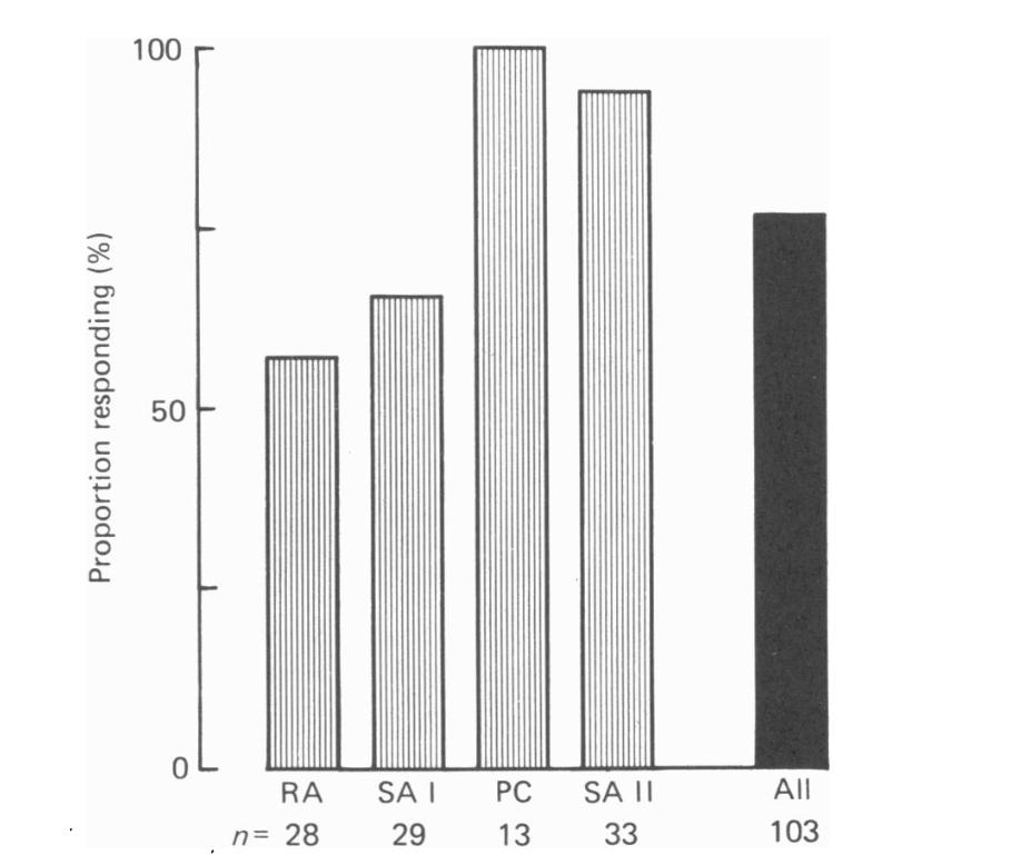
主な結果
1. 全体の77%の感覚神経が動きに反応
RA・PC・SA I・SA IIのすべてのタイプの受容器が自発的な指の動きに反応
2. 一番反応が大きかったのは?
反応の強さ:
PC > SA II > SA I > RA
特にPC(パチニ小体)とSA IIが動きによく反応しました

3. 「動きの途中」に強く反応

指が動いている最中(動的段階)には神経が強く活動しましたが、止まっているとき(静的段階)には反応が弱い、またはほとんどありませんでした

4. 皮膚を押したときと同じくらい反応
指の動きによる反応は、皮膚を直接押したとき(軽く押す程度)と同じくらい強いことがわかりました
考察
・皮膚の感覚受容器は、「触れられたこと」を感じるだけでなく、自分で動いたときの皮膚の変化も感知している
・つまり、体の位置や動きを感じ取る「運動感覚」や、無意識の運動制御において、皮膚感覚が重要な役割を果たしていると考えられます
・静止している間の反応は弱いため、皮膚受容器は「今動いている」という情報に特に敏感である
結論
・手のひらの皮膚にある感覚受容器は、自発的な指の動きにもしっかり反応する
・特に動いている最中に感覚神経が強く活動することから、皮膚感覚は身体運動のモニタリングや制御に関与している可能性がある
なぜこれが重要なの?
1. 感覚と運動のつながり
これまで皮膚の感覚は「触れる」ためのものと考えられていましたが、実は「動き」の感覚にも関わっていることがわかりました
2. 手の動きの制御
皮膚の感覚は、私たちが手を動かすときの「フィードバック」として働いている可能性があります
特に、何かを掴んだり操作したりするときに重要かもしれません
3. 新しい理解
手の感覚は「外部からの接触」と「自分の動き」を区別できる仕組みがあるようです
指を動かしただけで皮膚の感覚神経が活発に反応することから、皮膚感覚が運動制御に深く関わっていると考えられます
つまり、この研究は「私たちの皮膚感覚は単に触ったものを感じるだけでなく、自分の体がどう動いているかを知るためにも使われている」ということを示しています
参考文献
M Hulliger et al. The responses of afferent fibres from the glabrous skin of the hand during voluntary finger movements in man. 1979
Johansson et al. Tactile sensibility in the human hand: relative and absolute densities of four types of mechanoreceptive units in glabrous skin. 1979
NEUROスタジオ東京
